Yuk Lihat 11+ Contoh Surat Perjanjian Akad Musyarakah Terbaik
Inilah 8+ contoh surat perjanjian akad musyarakah. Menyediakan dana untuk modal kerja berupa uang tunai sebagaimana yang diatur pada Pasal 1. Tom And Jerry Tom S Trap O Matic Kitchen Youtube. Kata ini berasal dari bahasa Arab syrikah BEBAN BIAYA AKAD MUSYRAKAH MUTANQIAHhttpsrepositoryar-raniryacidideprint62725Cut Intan Rizki AlFichier PDF3. Cek juga akad dan contoh surat perjanjian akad musyarakah A short summary of this paper.
Pada umumnya contoh akad musyarakah akan memiliki urutan yang sama seperti akad lain pada Lembaga Keuangan sebagaimana kita ketahui perjanjian modern termasuk di Lemabaga Keuangan sekarang ini terbiasa menggunakan kontrak baku yang formula umumnya sama yaitu. Kerjasama tersebut bisa dilakukan oleh dua orang atau dua pihak bahkan juga lebihPDF Contoh Surat Perjanjian Syirkah Perumahan Citot T httpswwwacademiaedu15890253Contoh Surat Perjanjian Syirkah Perumahan.
Contoh Surat Perjanjian Akad Mudharabah Contoh Surat
| Judul: Contoh Surat Perjanjian Akad Mudharabah Contoh Surat |
| Format: PPT |
| Ukuran surat: 6mb |
| Ukuran kertas: Folio |
| Tanggal pembuatan Contoh Surat Perjanjian Akad Mudharabah Contoh Surat: Juli 2018 |
| Jumlah halaman Contoh Surat Perjanjian Akad Mudharabah Contoh Surat: 342 Halaman |
| Lihat Contoh Surat Perjanjian Akad Mudharabah Contoh Surat |
Kali ini kita membahas contoh praktik transaksi akad Musyarakah Mutanaqisah berdasarkan naskah perjanjian kontrak yang diaplikasikan oleh salah satu Lembaga Keuangan Syariah LKS yang kami teliti.

Berikut saya posting salah satu contoh akad yang bisa. Kali ini kita membahas contoh praktik transaksi akad Musyarakah Mutanaqisah berdasarkan naskah perjanjian kontrak yang diaplikasikan oleh salah satu Lembaga Keuangan Syariah LKS yang kami teliti. Pembukuan Pembiayaan adalah pembukuan atas nama Pihak ke-2 pada Pihak ke-1 yang khusus mencatat seluruh transaksi Pihak ke-2 sehubungan dengan pembiayaan yang merupakan bukti sah dan mengikat Pihak ke-2 atas segala kewajiban pembayaran sepanjang tidak dapat dibuktikan sebaliknya dengan caraContoh surat pernyataan perjanjian dina ayu saraswati httpswwwacademiaedu44468157Contoh_surat_pernyataan_perjanjianContoh surat pernyataan perjanjian. Sebelum kita bahas lebih lanjut lagi mari kita lihat dlu Contoh Surat Perjanjian Bagi Hasil Deposito Mudharabah berkut ini. Perjanjian Bagi Hasil Akad Mudharabah Bismillaahir Rahmaanir Rahiim. Selain mudharabah dan murabahah bentuk kerja sama dalam sistem ekonomi Islam juga dapat terjadi melalui adalah akad musyarakah.
Surat Perjanjian Mudharabah
| Judul: Surat Perjanjian Mudharabah |
| Format: JPG |
| Ukuran surat: 2.3mb |
| Ukuran kertas: Folio |
| Tanggal pembuatan Surat Perjanjian Mudharabah: September 2018 |
| Jumlah halaman Surat Perjanjian Mudharabah: 297 Halaman |
| Lihat Surat Perjanjian Mudharabah |
Akad Mudharabah Dan Musyarakah
| Judul: Akad Mudharabah Dan Musyarakah |
| Format: PNG |
| Ukuran surat: 810kb |
| Ukuran kertas: A4 |
| Tanggal pembuatan Akad Mudharabah Dan Musyarakah: Desember 2020 |
| Jumlah halaman Akad Mudharabah Dan Musyarakah: 181 Halaman |
| Lihat Akad Mudharabah Dan Musyarakah |
Surat Perjanjian Bagi Hasil
| Judul: Surat Perjanjian Bagi Hasil |
| Format: PDF |
| Ukuran surat: 2.3mb |
| Ukuran kertas: HVS |
| Tanggal pembuatan Surat Perjanjian Bagi Hasil: Mei 2017 |
| Jumlah halaman Surat Perjanjian Bagi Hasil: 232 Halaman |
| Lihat Surat Perjanjian Bagi Hasil |

Contoh Surat Perjanjian Akad Mudharabah Contoh Surat
| Judul: Contoh Surat Perjanjian Akad Mudharabah Contoh Surat |
| Format: JPG |
| Ukuran surat: 1.9mb |
| Ukuran kertas: Folio |
| Tanggal pembuatan Contoh Surat Perjanjian Akad Mudharabah Contoh Surat: Februari 2018 |
| Jumlah halaman Contoh Surat Perjanjian Akad Mudharabah Contoh Surat: 321 Halaman |
| Lihat Contoh Surat Perjanjian Akad Mudharabah Contoh Surat |
![]()
Akad Pembiayaan Musyarakah Mudharabah Tgk Amri Academia Edu
| Judul: Akad Pembiayaan Musyarakah Mudharabah Tgk Amri Academia Edu |
| Format: PPT |
| Ukuran surat: 810kb |
| Ukuran kertas: Folio |
| Tanggal pembuatan Akad Pembiayaan Musyarakah Mudharabah Tgk Amri Academia Edu: Juli 2021 |
| Jumlah halaman Akad Pembiayaan Musyarakah Mudharabah Tgk Amri Academia Edu: 181 Halaman |
| Lihat Akad Pembiayaan Musyarakah Mudharabah Tgk Amri Academia Edu |
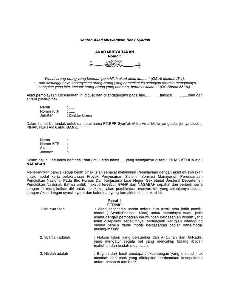
Contoh Akad Musyarakah Bank Syariah
| Judul: Contoh Akad Musyarakah Bank Syariah |
| Format: PDF |
| Ukuran surat: 5mb |
| Ukuran kertas: Letter |
| Tanggal pembuatan Contoh Akad Musyarakah Bank Syariah: Mei 2017 |
| Jumlah halaman Contoh Akad Musyarakah Bank Syariah: 149 Halaman |
| Lihat Contoh Akad Musyarakah Bank Syariah |

Contoh Surat Perjanjian Akad Qirad Contoh Surat
| Judul: Contoh Surat Perjanjian Akad Qirad Contoh Surat |
| Format: PNG |
| Ukuran surat: 800kb |
| Ukuran kertas: A3 |
| Tanggal pembuatan Contoh Surat Perjanjian Akad Qirad Contoh Surat: Februari 2017 |
| Jumlah halaman Contoh Surat Perjanjian Akad Qirad Contoh Surat: 140 Halaman |
| Lihat Contoh Surat Perjanjian Akad Qirad Contoh Surat |
Contoh Akad Musyarakah Bank Syariah
| Judul: Contoh Akad Musyarakah Bank Syariah |
| Format: PDF |
| Ukuran surat: 1.5mb |
| Ukuran kertas: Folio |
| Tanggal pembuatan Contoh Akad Musyarakah Bank Syariah: April 2018 |
| Jumlah halaman Contoh Akad Musyarakah Bank Syariah: 331 Halaman |
| Lihat Contoh Akad Musyarakah Bank Syariah |
Contoh Akad Musyarakah Bank Syariah
| Judul: Contoh Akad Musyarakah Bank Syariah |
| Format: PNG |
| Ukuran surat: 2.3mb |
| Ukuran kertas: Folio |
| Tanggal pembuatan Contoh Akad Musyarakah Bank Syariah: November 2019 |
| Jumlah halaman Contoh Akad Musyarakah Bank Syariah: 343 Halaman |
| Lihat Contoh Akad Musyarakah Bank Syariah |

Contoh Surat Perjanjian Akad Mudharabah Contoh Surat
| Judul: Contoh Surat Perjanjian Akad Mudharabah Contoh Surat |
| Format: JPG |
| Ukuran surat: 725kb |
| Ukuran kertas: A4 |
| Tanggal pembuatan Contoh Surat Perjanjian Akad Mudharabah Contoh Surat: Februari 2021 |
| Jumlah halaman Contoh Surat Perjanjian Akad Mudharabah Contoh Surat: 325 Halaman |
| Lihat Contoh Surat Perjanjian Akad Mudharabah Contoh Surat |
Contoh Akad Musyarakah Bank Syariah
| Judul: Contoh Akad Musyarakah Bank Syariah |
| Format: Doc |
| Ukuran surat: 1.5mb |
| Ukuran kertas: A4 |
| Tanggal pembuatan Contoh Akad Musyarakah Bank Syariah: Juli 2019 |
| Jumlah halaman Contoh Akad Musyarakah Bank Syariah: 134 Halaman |
| Lihat Contoh Akad Musyarakah Bank Syariah |
Bank syariah juga dapat menjadi alternatif bagi pengusaha yang membutuhkan modal usaha dengan skema bagi hasil. CONTOH SURAT AKAD PERJANJIAN KERJASAMA USAHA SYARIKAH MUDHARABAH. Berikut saya posting salah satu contoh akad yang bisa sahabat sahabat gunakan atau dijadikan patokan dalam melakukan perjanjian kerjasama terutama dalam bentuk syarikah mudharabah atau perjanjianTemps de Lecture Estim.
Inilah Artikel tentang contoh surat perjanjian akad musyarakah, Contoh Surat Perjanjian Syirkah Perumahan. Pengertian Dalil Rukun Contoh. Contoh surat perjanjian akad mudharabah contoh surat akad mudharabah dan musyarakah contoh akad musyarakah bank syariah contoh surat perjanjian akad mudharabah contoh surat contoh akad musyarakah bank syariah contoh surat perjanjian akad mudharabah contoh surat, semoga bermanfaat.
Post a Comment
Post a Comment